V zgornjem videu je prikazano, kako rešujemo izraze z ulomki, v katerih nastopajo operacije seštevanja, odštevanja, množenja in deljenja (vse 4 računske operacije) ter oklepaji.
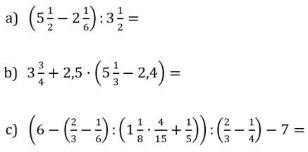
Rešili bomo primere:

Da boste lažje sledili in se tako tudi več naučili, sem vam pripravila delovni list, ki si ga lahko prenesete, natisnete in izpolnite.
Prenesi delovni list:Izrazi z ulomki – vse 4 računske operacije in oklepaji
Če vam kakšna posebna naloga na to temo dela težave in je ne znate rešiti, napišite nalogo v komentar te objave. Tako vam bom lahko pomagala in zapisala potek reševanja naloge.
Zapomnite si, če boste matematiki (redno) posvečali nekaj časa, boste v njej postali dobri in uspešni. Nenazadnje pa se vam bo postala še celo lahka.
Lepo se imejte in vidimo se v naslednjem videu,
Ana
